Search icon CANCEL
Subscription
0
Cart icon
Your Cart (0 item)
Close icon
You have no products in your basket yet
Save more on your purchases! discount-offer-chevron-icon
Savings automatically calculated. No voucher code required.
Arrow left icon
Explore Products
Best Sellers
New Releases
Books
Videos
Audiobooks
Learning Hub
Newsletter Hub
Free Learning
Arrow right icon
timer SALE ENDS IN
0 Days
:
00 Hours
:
00 Minutes
:
00 Seconds
Arrow up icon
GO TO TOP
Java Coding Problems

You're reading from   Java Coding Problems Become an expert Java programmer by solving over 250 brand-new, modern, real-world problems

Arrow left icon
Product type Paperback
Published in Mar 2024
Publisher Packt
ISBN-13 9781837633944
Length 798 pages
Edition 2nd Edition
Languages
Arrow right icon
Author (1):
Arrow left icon
Anghel Leonard Anghel Leonard
Author Profile Icon Anghel Leonard
Anghel Leonard
Arrow right icon
View More author details
Toc

Table of Contents (16) Chapters Close

Preface 1. Text Blocks, Locales, Numbers, and Math 2. Objects, Immutability, Switch Expressions, and Pattern Matching FREE CHAPTER 3. Working with Date and Time 4. Records and Record Patterns 5. Arrays, Collections, and Data Structures 6. Java I/O: Context-Specific Deserialization Filters 7. Foreign (Function) Memory API 8. Sealed and Hidden Classes 9. Functional Style Programming – Extending APIs 10. Concurrency – Virtual Threads and Structured Concurrency 11. Concurrency ‒ Virtual Threads and Structured Concurrency: Diving Deeper 12. Garbage Collectors and Dynamic CDS Archives 13. Socket API and Simple Web Server 14. Other Books You May Enjoy
15. Index

124. Introducing the Fibonacci Heap data structure

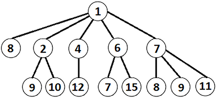
A Fibonacci Heap is a flavor of Binomial Heap with excellent performance in amortized time for operations such as insert, extract minimum, and merge. It is an optimal choice for implementing priority queues. A Fibonacci Heap is made of trees, and each tree has a single root and multiple children arranged in a heap-ordered fashion. The root node with the smallest key is always placed at the beginning of the list of trees.

It is called a Fibonacci Heap because each tree of order k has at least Fk+2 nodes, where Fk+2 is the (k+2)th Fibonacci number.

In the following figure, you can see a Fibonacci Heap sample:

Figure 5.39.png

Figure 5.39: Fibonacci Heap sample

The main operations in a Fibonacci Heap are (Big O represents the amortized time): insert (O(1)), decrease key (O(1)), find the minimum (O(1)), extract minimum (O(log n)), deletion (O(log n)), and merge (O(1)). You can find an implementation of these operations in the bundled...

lock icon The rest of the chapter is locked
Visually different images
CONTINUE READING
83
Tech Concepts
36
Programming languages
73
Tech Tools
Icon Unlimited access to the largest independent learning library in tech of over 8,000 expert-authored tech books and videos.
Icon Innovative learning tools, including AI book assistants, code context explainers, and text-to-speech.
Icon 50+ new titles added per month and exclusive early access to books as they are being written.
Java Coding Problems
Register for a free Packt account to unlock a world of extra content!
A free Packt account unlocks extra newsletters, articles, discounted offers, and much more. Start advancing your knowledge today.
Unlock this book and the full library FREE for 7 days
Get unlimited access to 7000+ expert-authored eBooks and videos courses covering every tech area you can think of
Renews at €18.99/month. Cancel anytime
Modal Close icon
Modal Close icon

Follow Lee on X/Twitter - Father, Husband, Serial builder creating AI, crypto, games & web tools. We are friends :) AI Will Come To Life!

Check out: eBank.nz (Art Generator) | Netwrck.com (AI Tools) | Text-Generator.io (AI API) | BitBank.nz (Crypto AI) | ReadingTime (Kids Reading) | RewordGame | BigMultiplayerChess | WebFiddle | How.nz | Helix AI Assistant